网络计划即网络计划技术(Network Planning Technology),是指用于工程项目的计划与控制的一项管理技术。它既是一种科学的计划方法,又是一种有效的生产管理方法。作为一名将来的项目经理,学好网络计划十分重要,也因此,网络计划在历年的一级建造师考试中都属重要考核的内容,无论是在项目管理科目,还是在实务各专业科目中,都占据很重要的位置。
此篇为第二类单代号网络计划的基本概念及计算方法的详细解析~
编辑推荐 → → → 双代号网络计划详解

单代号网络计划
单代号网络图是以节点及其编号表示工作,以箭线表示工作之间逻辑关系的网络图。
一、单代号网络图的基本符号

(1)节点:每一个节点表示一项工作,在节点中加注工作代号、名称和持续时间。
(2)箭线:表示紧邻工作之间的逻辑关系,既不占用时间,也不消耗资源。
(3)线路:分为关键线路、非关键线路
单代号网络图工作的表示方法

二、单代号网络图的特点
(1)工作之间的逻辑关系容易表达,且不用虚箭线,故绘图较简单。
(2)网络图便于检查和修改。
(3)由于工作持续时间表示在节点之中,没有长度,故不够直观。
(4)表示工作之间逻辑关系的箭线可能产生较多的纵横交叉现象。
三、单代号网络图的绘图规则
(1)必须正确表达已确定的逻辑关系。
(2)不允许出现循环回路。
(3)不能出现双向箭头或无箭头的连线。
(4)不能出现没有箭尾节点的箭线和没有箭头节点的箭线。
(5)箭线不宜交叉,当交叉不可避免时,可采用过桥法或指向法绘制。
(6)单代号网络图中只应有一个起点节点和一个终点节点。当网络图中有多项起点节点或多项终点节点时,应在网络图的两端分别设置一项虚工作,作为该网络图的起点节点(St)和终点节点(Fin)。
四、单代号网络计划的计算

单代号网络计划时间参数的计算应在确定各项工作的持续时间之后进行。计算步骤如下:
(1)计算最早开始时间、最早完成时间(与双代号相同,参考双代号详解篇)
(2)网络计划的计算工期Tc(与双代号相同,参考双代号详解篇)
(3)计算相邻两项工作之间的时间间隔LAGi,j
相邻工作i和j的时间间隔LAGi,j等于紧后工作j的“最早开始时间ESj”减去本工作的“最早完成时间EFi”,即:
LAGi,j= ESj–EFi(即LAG=“后早始”-“本早完”)
(4)计算工作总时差TFi
①总时差的计算应从终点节点开始,逆向计算;
②如计划工期等于计算工期,终点节点工作总时差 TFn = 0
③其它工作总时差等于各紧后工作总时差加该工作与紧后工作之间的时间间隔LAGi,j之和的最小值,即:TFi=min(TFj + LAGi,j)
(5)计算工作自由时差
自由时差FFi等于该工作i与其紧后工作j之间的时间间隔LAGi-j的最小值。即:FFi= min(LAGi-j)
(6)计算最迟开始时间、最迟完成时间
工作i的最迟开始时间LSi等于该工作的最早开始时间ESi与其总时差TFi之和,即:LSi=ESi+TFi
工作i的最迟完成时间LFi等于该工作的最早完成时间EFi与其总时差TFi之和,即:LFi=EFi+TFi
(7)关键工作和关键线路的确定
①关键工作:总时差最小的工作是关键工作。
②关键线路:从起点节点到终点节点均为关键工作,且所有工作的时间间隔LAGi-j为零的线路为关键线路。
五、【经典例题】求下列单代号网络时间参数 (此题来源于233网校赵春晓老师讲义)

1、计算最早开始时间、最早完成时间(与双代号网络计划计算相同:顺加取大 )

2、计算时间间隔 LAG(工作之间的时间间隔等于紧后工作的最早开始时间减去本工作的最早完成时间)

3、确定关键线路(所有工作的时间间隔LAG都为 0 的线路为关键线路)

4、计算工作总时差:逆向递推,终点节点总时差=Tp-Tc,如计划工期等于计算工期,其值为0;其他工作的总时差等于其与紧后工作的时间间隔加上紧后工作的总时差,如果其有多个紧后工作,取最小值。

5、计算最迟开始时间、最迟完成时间

总时差=最迟开始 - 最早开始=最迟完成 - 最早完成,即
最迟开始=最早开始 + 总时差,
最迟完成=最早完成 + 总时差
6、计算自由时差(如果一个工作只有一个紧后工作,LAG 的值就是紧后工作的自由时差。如果一个工作有多个紧后工作,LAG 取最小值就是其自由时差。逆向取小)

六、练习题
1、【2019】关于单代号网络计划绘图规则的说法,正确的是( )。
A.不允许出现虚工作
B.箭线不能交叉
C.不能出现双向箭头的连线
D.只能有一个起点节点,但可以有多个终点节点
绘制网络图时,箭线不宜交叉,当交叉不可避免时,可采用过桥法或指向法绘制,B 选项错误。
单代号网络图中只应有一个起点节点和一个终点节点,D选项错误。
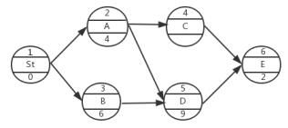
2、【2017】某单代号网络计划如下图,工作 A、D 之间的时间间隔是( )天。

A.0
B.1
C.2
D.3
参考解析:由于“时间间隔=紧后工作最早开始时间-本工作最早完成时间”,所以首先要计算出“工作A的最早完成时间”和“工作D的最早开始时间”。

工作 A 最早完成时间为 4,工作 D 最早开始时间为 6,则 LAG A,D =6-4=2 天