2018年人力资源管理师三级基础知识考点:第一章劳动经济学
效用最大化
在现代市场经济中,市场运作的主体是企业和个人。个人追求的目标是效用最大化。企业追求的目标是利润的最大化。
劳动力与劳动力供给
(一)劳动力和劳动力供给
劳动力参与率是衡量、测度人口参与社会劳动程度的指标。
计算公式:总人口劳参率=劳动力/总人口×l00%
劳动力供给量变动对工资率变动的反应程度被定义为劳动力供给的工资弹性,简称劳动力供给弹性。
(二)劳动力参与率的生命周期
首先,15~19岁年龄组的青年人口劳参率下降。
其次,女性劳参率呈上升趋势。形成这种变动趋势的主要原因是:①女性教育水平普遍提高,与此相应的工资率普遍提高;②制度劳动时间缩短,灵活工时制度普遍推行;③人口出生率下降对家务劳动的全面影响;④科学技术进步对产业技术状况、家务劳动效率的全面影响。
再次,老年人口劳参率下降。这种变化的主要原因是收入保障制度以及各种形式的企业养老保险计划的完善和推广。
最后,25~55岁年龄段男性成年人的劳参率保持高位水平,观察不到因经济周期循环产生的变动,也不存在显著的趋势性变化。
(三)经济周期与两种劳动参与假说
经济周期,指经济运行过程中繁荣与衰退的周期性交替。
研究者们提出两种劳动参与假说:附加性劳动力假说与悲观性劳动力假说。
两种假说的前提观点是相同的,即男性成年人的劳动力参与率与经济周期不存在敏感的反应性。
劳动力需求
在假设其他条件不变的情况下,劳动力需求与工资率存在着如下的关系:
工资率提高,劳动力需求减少;工资率降低,劳动力需求增加。这是分析劳动力需求的一个重要前提。
劳动力需求量变动对工资率变动的反应程度定义为劳动力需求的自身工资弹性。其计算公式是:劳动力需求量变动的百分比与工资率变动的百分比的比值。
劳动力市场的含义
劳动力市场的主体由相互对立的两极构成:其一为劳动力的所有者个体;
其二为使用劳动力的企业。
劳动力市场的客体是劳动者的劳动力,即存在于劳动者身体之内的体力和智力的总和一劳动能力。
劳动力市场的本质属性,指劳动力市场所维护、反映和调节的经济利益的性质,其主要表现是:
第一,劳动力市场是在产权边界界定清晰的条件下的必然产物。
第二,劳动力市场是在社会主义市场经济中调节劳动力的配置,实现劳动要素与非劳动生产要素相结合的最有效率的最佳途径。
第三,劳动力通过劳动力市场的劳动交换,离开流通领域进入生产领域后,所开始的劳动过程是商品生产者的劳动过程。商品生产者所生产的价值在生产要素的所有者之间进行分配。
工资形式
生产要素分为四类:土地、劳动、资本和企业家才能。
按要素类别分配社会总产品或收入,称为功能性收入分配。
(一)基本工资
基本工资是以货币为支付手段,按照时间或产量计算的报酬,是工资构成的主要部分。
1.工资率
指单位时间的劳动价格,根据单位时间的标准不同,可分为小时工资率、日工资率等。
2.货币工资与实际工资
货币工资是指工人单位时间的货币所得,受到三个主要因素影响:货币工资率、工作时间长度和相关的工资制度安排。
实际工资是经过价格指数修正过的货币工资,用以说明工资的实际购买能力,计算公式:实际工资=货币工资÷价格指数。
3.计时工资与计件工资
根据计算的时间单位的不同,计时工资的具体形式有:
(1)小时工资制:货币工资=工资标准×实际工作时间
(2)日工资制:货币工资=小时工资率×标准工作日小时数
(3)周工资制:货币工资=日工资率×标准工作日小时数
计时工资是最为传统的工资形式。
计件工资是依据工人合格产品数量(作业量)和计件工资率计算工资报酬的工资支付形式,计算公式如下:
货币工资=计件工资率(计件单价)×合格产品数量
计时工资与计件工资两种工资形式的区别在于计量劳动的方式不同。
(二)福利
福利是工资的转化形式和劳动力价格的重要构成部分。
福利的支付方式划分为两类:其一为实物支付,包括各种免费或折价的工作餐、折价或优惠的商品和服务。其二为延期支付,包括各类保险支付,如退休金、失业保险等。
福利具有以下特征:
(1)福利支付以劳动为基础,但并不与个人劳动量直接相关。
(2)法定性。
(3)企业自定性和灵活性。
第二节 劳动力供给和需求
一、劳动力与劳动力供给(重点)
(一)劳动力和劳动力参与率的概念(重点)
1.劳动力的概念
劳动力是指在一定年龄之内,具有劳动能力与就业要求,从事或能够从事某种职业劳动的全部人口,包括就业者和失业者,即社会劳动力。
2.劳动力参与率的概念
劳动力参与率是指劳动力在一定范围内的人口的比率。劳动力参与率是衡量、测度人口参与社会劳动程度的指标。
以总人口计算的劳动力参与率(简称劳参率)
称为总人口劳参率;以某年龄组计算的劳参率称为年龄劳参率;以某一性别计算的劳参率称为性别劳参率。
3.劳动力供给的概念
劳动力供给是指在一定的市场工资率的条件下,劳动力供给的决策主体(家庭或个人)愿意并且能够提供的劳动时间。
劳动力供给的工资弹性简称劳动力供给弹性,其计算公式是劳动力供给量变动的百分比与工资率变动的百分比的比值。设Es为劳动力供给弹性,△S/S表示供给量变动的百分比,△W/W表示工资变动的百分比,则有:
![]()
【例题1.1.6】劳动力供给的工资弹性Es的计算公式为( )。(2012年11月二级真题)
A.(△S/S)/(△W/W)
B.(△W/W)/(△S/S)
C.(△W/S)/(△S/W)
D.(△S/W)/(△W/S)
【答案】A
4.劳动力供给弹性的分类
劳动力供给弹性值分布在0到无限大之间,具体分为五大类。
(1)供给无弹性,即Es=0。无论工资率如何变动,劳动力供给量固定不变。
(2)供给有无限弹性,即Es→∞。工资率给定,而劳动力供给量变动的绝对值大于0。
(3)单位供给弹性,即Es→1。工资率变动的百分比与劳动力供给量变动的百分比相同。
(4)供给富有弹性,即Es>1。劳动力供给量变动的百分比大于工资率变动的百分比。
(5)供给缺乏弹性,即Es<1。劳动力供给量变动的百分比小于工资率变动的百分比。
(二)劳动力参与率的生命周期
劳动力参与率的变动趋势如下。
1.15~19岁年龄组的青年人口劳参率下降。
2.女性劳参率呈上升趋势。
3.老年人口劳参率下降。
4.25~55岁年龄段男性成年人的劳参率保持高位水平,不存在显著的趋势性变化。
【例题1.1.7】从劳动力参与率的长期变动来看,描述正确的是( )。(2011年5月二级真题)
A.女性劳参率呈上升趋势
B.老年人口劳参率呈下降趋势
C.20~24岁年龄组的青年人口劳参率下降
D.15~19岁年龄组的青年人口劳参率下降
E.25~55岁年龄段男性成年人口无显著的趋势性变化
【答案】ABDE
【例题1.1.8】女性劳参率呈上升趋势的主要原因包括( )。(2013年5月三级真题)
A.女性教育水平提高
B.劳动法日益完善
C.制度劳动时间缩短
D.人口出生率下降
E.科学技术不断进步
【答案】ACDE
【解析】女性劳参率呈上升趋势,形成这种变动趋势的主要原因包括:①女性教育水平普遍提高,与此相应的工资率普遍提高;②制度劳动时间缩短,灵活工时制度普遍推行,如弹性工作制、半日工作、短工劳动等;③人口出生率下降对家务劳动的全面影响;④科学技术进步对产业技术状况、家务劳动效率的全面影响。
(三)经济周期与两种劳动参与假说
1.经济周期
经济周期是指经济运行过程中繁荣与衰退的周期性交替。在经济总水平上升或下降时期,总劳动力参与率亦发生波动。
2.劳动参与假说
针对劳动力参与率随经济周期波动的状况,研究者们提出两种劳动参与假说:附加性劳动力假说与悲观性劳动力假说。两种假说的共同前提:男性成年人的劳动力参与率与经济周期不存在敏感的反应性。
二、劳动力需求(重点)
(一)劳动力需求的含义
劳动力需求是指企业在某一特定时期内,在某种工资率下愿意并能够雇用的劳动量。
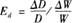
劳动力需求量变动对工资率变动的反应程度定义为劳动力需求的自身工资弹性。设Ed为劳动力需求的自身工资弹性,用△D/D表示劳动力需求量变动的百分比,用△W/W表示工资率变动的百分比。根据定义,计算公式为:
![]()
因为劳动力需求量与工资率存在反向关系,所以劳动力需求的自身工资弹性值为负值。在通常情况下,人们一般关注它的绝对值。
(二)劳动力需求的工资弹性的分类(重点)
1.需求无弹性,即Ed=0。无弹性的劳动力需求曲线是一条与横轴垂直的线。
2.需求有无限弹性,即Ed→∞。有无限弹性的劳动力需求曲线与横轴平行。
3.单位需求弹性,即Ed→1。单位需求弹性的劳动力需求曲线是与横轴的夹角为45°并向右下倾斜的曲线。
4.需求富有弹性,即Ed>1。需求富有弹性的劳动力需求曲线是一条向右下倾斜且较为平缓的曲线。
5.需求缺乏弹性,即Ed<1。需求缺乏弹性的劳动力需求曲线是一条向右下倾斜且较为陡峭的曲线。
【例题1.1.9】劳动力需求的自身工资弹性是( )变动对工资率变动的反应程度。(2013年11月四级真题)
A.劳动力供求
B.劳动力供给量
C.劳动力需求量
D.劳动力需求
【答案】C
【例题1.1.10】下列劳动力需求曲线(图1-1-1)中,( )表示劳动力需求量变动相对于工资率变动富有弹性。(2013年11月二级真题)

【答案】c
【解析】需求富有弹性,即Ed>1,表明劳动力需求曲线是一条向右下倾斜且较为平缓的曲线,如图1-1-1中的曲线“C”。
(三)劳动力需求量的变动
劳动力需求量的变动是指在其他条件不变的情况下,仅由工资率的变动引起的劳动力需求量的变动。
此类变动表现为在同一条劳动力需求曲线上的移动。
三、企业短期劳动力需求的决定(重点)
(一)边际生产力递减规律
1.边际生产力递减规律
当把可变的劳动投入增加到不变的其他生产要素上,最初劳动投入的增加会使产量增加;但是当其增加超过一定限度时,增加的产量开始递减。这种规律就是劳动的边际生产力递减规律。
2.劳动投入增加引起的产量变动
在其他生产要素不变时,由劳动投入的增加所引起的产量变动可以分为三个阶段。第一阶段:边际产量递增阶段;第二阶段:边际产量递减阶段;第三阶段:总产量绝对减少。
3.劳动投入增加量的计算
设总产量为Q,可变的劳动要素投入为L,平均产量为AP,边际产量为MP,则有:
AP=Q/L MP=△Q/AL
在图1-1-2中,横轴为劳动收入L,纵轴为总产量、平均产量、边际产量;对应三种产量的曲线为TP、MP和AP。从图1-1-2中可以看到如下特点。
其一,TP、AP、MP三条曲线都是先增后减。第一阶段,AP递增;第二阶段,MP递减;第三阶段,MP为负值。
其二,AP与MP的交点为AP的最大值。两条曲线相交前,AP
其三,当MP=0时,总产量取得极大值。

图1-1-2总产量、平均产量、边际产量
(二)企业短期劳动力需求的决定
在完全竞争的市场结构中,资本等生产要素不变,唯一可变的是生产要素为劳动投入,那么,由于增加单位劳动而给企业增加的收益为劳动的边际产品价值,它等于劳动的边际产品乘以价格,即:
MRP=VMP=MP·P
其中,MRP代表劳动的边际产品收益;VMP代表劳动的边际产品价值;P代表产品的价格。短期企业唯一可变的生产要素是劳动投入,在完全竞争条件下,短期企业劳动力需求决定的原则:
MRP=VMP=MP·P=MC=W
其中,MC代表边际成本,形代表工资,其他同上。
【例题1.1.11】短期企业唯一可变的生产要素是( )。(2010年5月二级、三级真题)
A.生产资料
B.劳动资料
C.资本投入
D.劳动投入
【答案】D
(一)劳动力市场的含义
1.劳动力市场的含义
广义的劳动力市场是指劳动力所有者个体与使用劳动要素的企业之间,在劳动交换过程中所体现的、反映社会经济特征之一的经济关系。
狭义的劳动力市场是指市场机制借以发挥作用,实现劳动力资源优化配置的机制和形式。
2.劳动力市场的性质
(1)劳动力市场是社会生产得以进行的前提条件。
(2)劳动力与工资的交换行为,使交换双方各自得到所需要的使用价值,实现各自的效用;在交换的过程中,各方从自身利益角度出发,进行经济计量,能够使双方接受交换的结果,因而其交换只能是一种等价交换。
(3)劳动力市场的劳动交换,决定了劳动力的市场价值——工资。劳动力价格——工资是实现和决定这种交换行为的必要手段。
(4)通过劳动力市场的交换,实现劳动要素与非劳动生产要素的最佳结合,是一种具有最高效率、消耗最低费用的最经济的形式。
3.劳动力市场的本质属性及其主要表现
(1)劳动力市场是在产权边界界定清晰的条件下的必然产物。因为进行财产交换的前提是有对财产享有支配权的主体。
(2)劳动力市场是在社会主义市场经济中调节劳动力的配置,实现劳动要素与非劳动生产要素相结合的最有效率的最佳途径。劳动力市场为劳动者追求正当的物质利益提供了社会经济条件。
(3)劳动力通过劳动力市场的劳动交换,离开流通领域进入生产领域后所开始的劳动过程是商品生产者的劳动过程。商品生产者所生产的价值在生产要素的所有者之间进行分配。
【例题1.1.12】以下关于劳动力市场的说法正确的是( )。(2012年5月二级真题)
A.劳动力市场是社会生产得以进行的前提条件
B.劳动力与工资的交换行为只能是一种等价交换
C.劳动力市场交换具有最高效率,消耗最低费用
D.劳动力市场的劳动交换决定了劳动力的市场价值
E.工资是实现和决定劳动交换行为的必要手段
【答案】ABCDE
(二)劳动力市场的静态与动态均衡
1.均衡状态
均衡状态是指经济中各种对立的、变动着的力量处于一种力量相当、相对稳定、不再变动的状态。
2.均衡分析方法分类
(1)局部均衡分析和一般均衡分析。
(2)静态均衡分析和动态均衡分析。
(三)劳动力市场均衡的意义
1.劳动力资源的最优分配。
2.同质的劳动力获得同样的工资。
3.充分就业。
五、人口、资本存量与均衡工资率(重点)
(一)人口对劳动力供给的影响(重点)
1.人口规模
构成劳动力供给的劳动力人口群体是一定时期、一定地域人口总体的一部分。在其他条件不变的情况下,劳动力供给与人口规模呈正向关系。
2.人口年龄结构
(1)通过劳动年龄组人口占人口总体比重的变化,影响劳动力供给。
(2)通过劳动年龄组内部年龄构成的变动,影响劳动力供给内部构成的变化。
3.人口城乡结构
人口城乡结构既是人口地理分布的反映,也是人口经济结构的反映。
【例题1.1.13】人口年龄结构对劳动力供给的影响主要表现在( )。(2011年5月三级真题)
A.就业人口总量
B.劳动年龄组内部年龄构成
C.劳动年龄组人口占人口总体比重
D.劳动年龄组外部年龄构成
E.劳动年龄组人口占失业人口比重
【答案】BC
(二)资本存量对劳动力需求的影响(重点)
资本存量的增加,根本改变了劳动力与资本的配置比例,从而使劳动生产率提高,劳动的边际产品增加。一般情况表明,生产率的增长最终将导致整个经济劳动力需求的增加。
(三)人口、资本存量与劳动力市场均衡
资本存量的增长率高于人口的增长率,因此其结果是均衡工资率得到提高,就业也在扩大。